
Datenblätter zu SVHC
In der folgenden Tabelle finden Sie eine Liste von Datenblättern für einzelne SVHC sowie für Gruppen von SVHC.
In den Datenblättern finden Sie weitergehende Informationen zu den Stoffen (u. a. Synonyme, Informationen zu gefährlichen Eigenschaften) sowie zusätzliche Details zur Verwendung der Stoffe/Stoffgruppen.
Derzeit liegen nur für einen Teil der Stoffe Datenblätter vor. Diese werden in den nächsten Monaten ergänzt, mit dem Ziel, mittelfristig für alle SVHC der Kandidatenliste, die in Erzeugnissen vorkommen könnten, ein Datenblatt bereitzustellen.
Dinatriumtetraborat, wasserfrei
Dinatriumtetraborat und Tetrabordinatriumheptaoxid, Hydrat finden hauptsächlich Anwendung in Wasch- und Reinigungsmitteln, Glas und Glasfasern, Keramik, Industrieflüssigkeiten, Metallurgie, Klebstoffen, Flammschutzmitteln, Körperpflegeprodukten, Bioziden und Düngemitteln.
2.1 Bekannte Funktionen der Stoffe
Flammschutzmittel, Bleichmittel, Flussmittel, Biozid, Mikronährstoff, Holzschutzmittel, Puffer, Härter.
2.2 Möglicher Einsatz in Materialien
Material | Gehalt > 0,1 % wahrscheinlich? | Funktionen und sonstige Informationen |
---|---|---|
Eisen und Stahl | Ja | Herstellung von Legierungen |
Glas & Keramik | Ja | Pigment in Glasuren |
Gummi | Nein |
|
Holz | Ja | Holzschutzmittel |
Kunststoffe | Nein |
|
Leder | Ja | Zusatz in Gerbbrühen, Flammschutzmittel |
Mineralische Materialien | Nein |
|
Nichteisenmetalle | Ja | Herstellung von Legierungen |
Papier | Ja | Härter, Oxidationsschutz in Entwicklern |
Textilien | Ja | Versteifung von Geweben |
Gemische zum Verbleib im Erzeugnis | Ja | Produktkategorien (PC): Klebstoffe, Dichtstoffe (PC 1), Wasch- und Reinigungsmittel (PC 35) |
2.2.1 Materialuntergruppen
keine Angaben
2.3 Einsatz in Erzeugnissen
Die Einsatzbereiche in Erzeugnissen sind entweder aus den Meldungen an die ECHA entnommen oder entsprechenden Hinweisen von Herstellern. Die aufgeführten Erzeugnisse sind als Beispiele für Erzeugnisse zu werten, in denen die SVHC enthalten sein könnten.
2.3.1 Beispiele für Erzeugnisse
Glaswolle, Wellpappe, Zellulosedämmstoffe, textile- und Leder Erzeugnisse, Glühbirnen, Sonnenkollektoren, Mikrowellen- und Glasgeschirr.
2.4 Informationen zu Freisetzungen und Expositionen
Keine Angaben
- REACH Anhang XIV (Zulassungen): Keine Zulassungspflicht
- REACH Anhang XVII (Beschränkungen):
- Eintrag 30: Stoffe, die in Anhang VI Teil 3 der Verordnung (EG) Nr. 1272/2008 als fortpflanzungsgefährdend der Kategorie 1A oder 1B eingestuft werden und in Anlage 5 bzw. Anlage 6 aufgeführt werden dürfen nicht als Stoffe, als Bestandteile anderer Stoffe oder in Gemischen, die zum Verkauf an die breite Öffentlichkeit bestimmt sind, in Verkehr gebracht oder verwendet werden, wenn die Einzelkonzentration des Stoffs oder Gemischs den jeweiligen in Anhang VI Teil 3 der Verordnung (EG) Nr. 1272/2008 festgelegten spezifischen Konzentrationsgrenzwert oder den allgemeinen Konzentrationsgrenzwert übersteigt.
Der Lieferant muss vor dem Inverkehrbringen gewährleisten, dass die Verpackung solcher Stoffe und Gemische gut sichtbar, leserlich und unverwischbar mit der Aufschrift „Nur für gewerbliche Anwender“ versehen ist.
- Eintrag 30: Stoffe, die in Anhang VI Teil 3 der Verordnung (EG) Nr. 1272/2008 als fortpflanzungsgefährdend der Kategorie 1A oder 1B eingestuft werden und in Anlage 5 bzw. Anlage 6 aufgeführt werden dürfen nicht als Stoffe, als Bestandteile anderer Stoffe oder in Gemischen, die zum Verkauf an die breite Öffentlichkeit bestimmt sind, in Verkehr gebracht oder verwendet werden, wenn die Einzelkonzentration des Stoffs oder Gemischs den jeweiligen in Anhang VI Teil 3 der Verordnung (EG) Nr. 1272/2008 festgelegten spezifischen Konzentrationsgrenzwert oder den allgemeinen Konzentrationsgrenzwert übersteigt.
- Spielzeugrichtlinie: Stoffe, die gemäß der Verordnung (EG) Nr. 1272/2008 als reproduktionstoxisch (CMR) der Kategorie 1B eingestuft wurden, dürfen nicht in Spielzeug, in Spielzeugkomponenten oder in aufgrund ihrer Mikrostruktur unterscheidbaren Spielzeugkomponenten verwendet werden.
- Verordnung (EU) Nr. 10/2011: Dinatriumtetraborat, wasserfrei ist bei der Herstellung von Kunststoffen, die dazu bestimmt sind, mit Lebensmitteln in Berührung zu kommen, unter bestimmten Bedingungen zugelassen.
--------------------------
(*2) Es sind nur die Verwendungsverbote und Beschränkungen aufgeführt, die eine Relevanz für Erzeugnisse haben. Zu betroffenen Anwendungen oder Ausnahmen ist der jeweilige Gesetzestext zu beachten. Bei Beschränkungen nach REACH Anhang XVII wird der erzeugnisrelevante Gesetzestext zitiert.
4.1 Harmonisierte Einstufung von Dinatriumtetraborat, wasserfrei, Dinatriumtetraborat-pentahydrat, Dinatriumtetraborat-decahydrat und Tetrabordinatrium-heptaoxid, Hydrat nach der CLP-Verordnung
Informationen zur Gefährlichkeit | Gefahrenklassen und -kategorien | Gefahrenhinweise | |
---|---|---|---|
Gesundheitsgefahren | Repr. 1B | H360FD: Kann die Fruchtbarkeit beeinträchtigen. Kann das Kind im Mutterleib schädigen. | |
| |||
Anmerkungen | Anmerkung 11: Gemische sind als reproduktionstoxisch einzustufen, wenn die Summe der Konzentrationen einzelner als reproduktionstoxisch eingestufter Borverbindungen des Gemischs, wie es in den Verkehr gebracht wird, mindestens 0,3 % beträgt. |
4.2 Selbsteinstufungen von Dinatriumtetraborat, wasserfrei, Dinatriumtetraborat-pentahydrat, Dinatriumtetraborat-decahydrat und Tetrabordinatrium-heptaoxid, Hydrat (Quelle: Einstufungs- und Kennzeichnungsverzeichnis (*3))
Informationen zur Gefährlichkeit | Gefahrenklassen und -kategorien | Gefahrenhinweise |
---|---|---|
Gesundheitsgefahren | Eye Irrit. 2 | H319: Verursacht schwere Augenreizung. |
Repr. 1B | H360FD: Kann die Fruchtbarkeit beeinträchtigen. Kann das Kind im Mutterleib schädigen. |
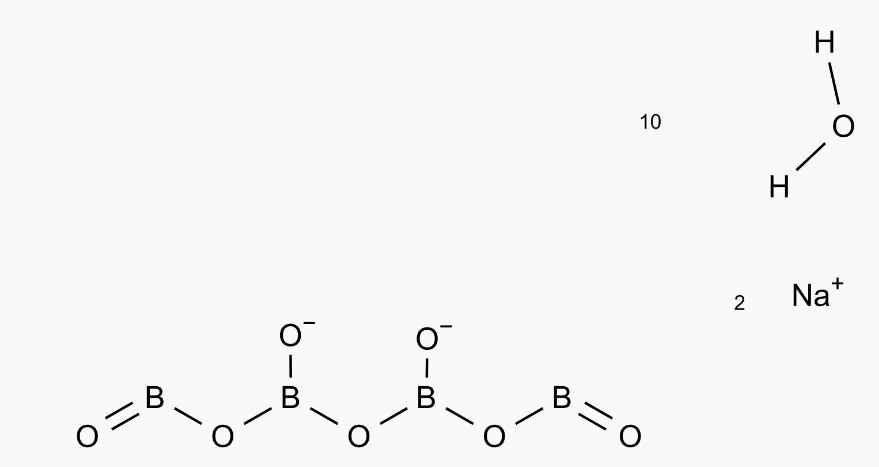
4.3 Strukturformel(n) (*4)
--------------------------
(*3) Quelle: Einstufungs- und Kennzeichnungsverzeichnis (C&L-Verzeichnis). Das Einstufungs- und Kennzeichnungsverzeichnis der ECHA enthält alle Einstufungen für Stoffe auf dem europäischen Markt. Da alle Hersteller und Importeure eines Stoffes die Einstufung und Kennzeichnung an die ECHA melden und diese Informationen weder überprüft, noch automatisch harmonisiert werden (können), unterscheiden sich die Selbsteinstufungen für einen Stoff in den unterschiedlichen Einträgen. Bei den hier aufgelisteten Einträgen handelt es sich um eine Zusammenstellung der am häufigsten vorgenommenen Selbsteinstufungen. Selbsteinstufungen, die die rechtsverbindliche harmonisierte Einstufung unterschreiten, werden nicht berücksichtigt.
(*4) Quelle: Strukturformeln aus den Anhang XV Dossiers der ECHA.
Im Folgenden sind nur Quellen zu Informationen angegeben, die nicht auf der Internetseite der ECHA verfügbar sind.
- Informationssystem Chemikalien des Bundes und der Länder (ChemInfo/GSBL),
https://recherche.chemikalieninfo.de/ [Zugriff am 23.08.2022] - „Schweizerische Eidgenossenschaft, Bundesamt für Gesundheit BAG (2016), Infoblatt zu Borax,
https://lebensmittelkontrolle.lu.ch/-/media/Lebensmittelkontrolle/Dokumente/Merkblaetter_und_Formulare/Chemikaliensicherheit/Berufs_Fachspez/Handel_Verkauf/Borax_Infoblatt.pdf [Zugriff am 23.08.2022]
Stand der Bearbeitung: 15. Okt. 2025