Datenblätter zu SVHC

In der folgenden Tabelle finden Sie eine Liste von Datenblättern für einzelne SVHC sowie für Gruppen von SVHC.

In den Datenblättern finden Sie weitergehende Informationen zu den Stoffen (u. a. Synonyme, Informationen zu gefährlichen Eigenschaften) sowie zusätzliche Details zur Verwendung der Stoffe/Stoffgruppen.

Derzeit liegen nur für einen Teil der Stoffe Datenblätter vor. Diese werden in den nächsten Monaten ergänzt, mit dem Ziel, mittelfristig für alle SVHC der Kandidatenliste, die in Erzeugnissen vorkommen könnten, ein Datenblatt bereitzustellen.

Zurück

4,4'-[2,2,2-trifluor-1-(trifluormethyl)ethyliden]diphenol (Bisphenol AF) und seine Salze

Die Derivate von Bisphenol AF (BPAF) sind Salze. Zu ihnen zählen das anorganische Natriumsalz und die übrigen organischen Salze.

 

Übersicht über die Stoffidentitäten von Bisphenol AF und seinen Salzen

Name

CAS-Nr.

EINECS

Synonyme (*1)

Warum SVHC

Benzyltriphenylphosphonium, Salz mit 4,4’-[2,2,2-Trifluor-1-(trifluormethyl)ethyliden]bis[phenol] (1:1)

75768-65-9

278-305-5

 

fortpflanzungsgefährdend (Artikel 57c)

Reaktionsmasse aus 4,4’-[2,2,2-Trifluor-1-(trifluormethyl)ethyliden]diphenol und Benzyl(diethylamino)diphenylphosphonium 4-[1,1,1,3,3,3-hexafluor-2-(4-hydroxyphenyl)propan-2-yl]phenolat (1:1)

-

-

 

Reaktionsmasse aus 4,4’-[2,2,2- Trifluor-1-(trifluormethyl)ethyliden]diphenol und Benzyltriphenylphosphonium, Salz mit 4‚4’- [2,2,2-Trifluor-1-(trifluormethyl) ethyliden]diphenol (1:1)

-

-

 

Dinatrium-4,4'-[2,2,2-trifluor-1-(trifluormethyl)ethyliden]diphenolat

-

425-060-9

 

4,4'-[2,2,2-trifluor-1-(trifluormethyl)ethyliden]diphenol (Bisphenol AF)

1478-61-1

216-036-7

BPAF;
Hexafluorbisphenol A;
4,4'-(1,1,1,3,3,3-hexafluoropropane-2,2-diyl)diphenol;
4,4'-(Hexafluoroisopropylidene)diphenol;
4,4'-[2,2,2-Trifluoro-1-(trifluoromethyl)ethylidene]bisphenol;
4-[1,1,1,3,3,3-hexafluoro-2-(4-hydroxyphenyl)propan-2-yl]phenol

Tributyl(2-methoxypropyl)-Phosphoniumsalz mit 4,4'-[2,2,2-trifluor-1-(trifluormethyl)ethyliden]bis[phenol] (1:1)

126049-00-1

468-740-0

 

Reaktionsprodukte von Benzol, Chlor und Dischwefelchlorid (S2Cl2) mit 4,4'-[2,2,2-trifluor-1-(trifluormethyl)ethyliden]diphenol (UVCB*)

921213-47-0

469-080-6

 

Benzyl(diethylamino)diphenylphosphonium 4-[1,1,1,3,3,3-hexafluor-2-(4-hydroxyphenyl)propan-2-yl]phenolat

577705-90-9

479-100-5

 

N,N-dibutyl-N-methylbutan-1-aminium 4-[1,1,1,3,3,3-hexafluor-2-(4-hydroxyphenyl)propan-2-yl]phenolate

-

443-330-4

 

--------------------------

(*1) weitere Synonyme: keine

* UVCB-Stoffe: Substances of Unknown or Variable composition, Complex reaction products or Biological materials)

 

Bisphenol AF und seine Derivate werden ausschließlich in Industrieanlagen verwendet. Sie werden bei der Herstellung von Fluorelastomeren eingesetzt. BPAF-gehärtete Fluorelastomere weisen Materialeigenschaften wie thermische Stabilität, chemische Beständigkeit und Druckverformungsbeständigkeit auf, die in der Kunststoffherstellung und anderen Fertigungsprozessen von Nutzen sind. Die hohe Ähnlichkeit in der technischen Funktion und der chemischen Zusammensetzung der Stoffe legt nahe, dass Bisphenol AF und seine Derivate austauschbar sind.

2.1 Bekannte Funktionen der Stoffe

Vulkanisationsmittel, Prozessregulator, Vernetzungsmittel, Härtungsmittel, Fällungsmittel

2.2 Möglicher Einsatz in Materialien

Übersicht über den möglichen Gehalt von Bisphenol AF und seinen Salzen in Materialien

Material

Gehalt > 0,1 % wahrscheinlich?

Funktionen und sonstige Informationen

Eisen und Stahl

Nein

 

Glas & Keramik

Nein

 

Gummi

Ja

Kautschukherstellung und -verarbeitung: Vernetzungsmittel für Fluorelastomere (synthetischer Kautschuk, FKM), Herstellung von Gummiprodukten auf Basis von FVC (Flexible Vapor Cellulose)

Holz

Nein

 

Kunststoffe

Ja

Verwendung bei der Herstellung von Polycarbonaten (Ersatz für Bisphenol A). Monomer bei der Synthese anderer Spezialpolymere wie Polyimide, Polyamide, Polyester und Polycarbonaten. Verwendung von Bisphenol AF-haltigen Polymeren für Hochtemperatur-Verbundwerkstoffe

Leder

Nein

 

Mineralische Materialien

Nein

 

Nichteisenmetalle

Nein

 

Papier

Nein

 

Textilien

Nicht bekannt

Textilien aus Polyestergewebe

Gemische zum Verbleib im Erzeugnis

Ja

Produktkategorien (PC): Laborchemikalien (PC 21), Polymerzubereitungen und -verbindungen PC 32)

2.2.1 Materialuntergruppen

Keine Angaben.

2.3 Einsatz in Erzeugnissen

Die Einsatzbereiche in Erzeugnissen sind entweder aus den Meldungen an die ECHA entnommen oder entsprechenden Hinweisen von Herstellern. Die aufgeführten Erzeugnisse sind als Beispiele für Erzeugnisse zu werten, in denen die SVHC enthalten sein könnten.

2.3.1 Beispiele für Erzeugnisse

Dichtungen und Schläuche für Kraftstoffleitungen und Tankdichtungen, Polymerlager, Freizeitartikel, Textilien, Hochtemperatur-Verbundwerkstoffe, Verpackungsmaterialien für Lebensmittel und Körperpflegeprodukte.

2.4 Informationen zu Freisetzungen und Expositionen

Aufgrund seiner physikalischen und chemischen Eigenschaften reichert sich BPAF hauptsächlich in Böden, Gewässern oder Sedimenten an und ist nur schwer biologisch abbaubar.

  • REACH Anhang XIV (Zulassung): Bisphenol AF und seine Salze sind nicht zulassungspflichtig.
  • REACH Anhang XVII (Beschränkungen): Es liegen für Bisphenol AF und seine Salze keine Beschränkungen vor.
  • Spielzeugrichtlinie: Stoffe, die gemäß der Verordnung (EG) Nr. 1272/2008 als karzinogen, mutagen oder reproduktionstoxisch (CMR) der Kategorie 1A, 1B oder 2 eingestuft wurden, dürfen in Spielzeug, in Spielzeugkomponenten oder in aufgrund ihrer Mikrostruktur unterscheidbaren Spielzeugkomponenten nicht verwendet werden.

--------------------------

(*2) Es sind nur die Verwendungsverbote und Beschränkungen aufgeführt, die eine Relevanz für Erzeugnisse haben. Zu betroffenen Anwendungen oder Ausnahmen ist der jeweilige Gesetzestext zu beachten. Bei Beschränkungen nach REACH Anhang XVII wird der erzeugnisrelevante Gesetzestext zitiert.

4.1 Harmonisierte Einstufung von Bisphenol AF und einigen seiner Salze nach der CLP-Verordnung

 

Informationen zur Gefährlichkeit

Gefahrenklassen und -kategorien

Gefahrenhinweise

Gesundheitsgefahren

Repr. 1B

H360F: Kann die Fruchtbarkeit beeinträchtigen.

 

Die Legaleinstufung und Kennzeichnung gelten für die folgenden Stoffe:

Name

CAS-Nr.

EINECS

Index-Nummer nach CLP-Verordnung

Benzyltriphenylphosphonium, Salz mit 4,4’-[2,2,2-Trifluor-1- (trifluormethyl)ethyliden]bis[phenol] (1:1)

75768-65-9

278-305-5

015-205-00-0

Reaktionsmasse aus 4,4’-[2,2,2- Trifluor-1-(trifluormethyl)ethyliden]diphenol und Benzyl(diethylamino)diphenylphosphonium 4- [1,1,1,3,3,3-hexafluor-2-(4-hydroxyphenyl)propan-2-yl]phenolat (1:1)

-

-

015-206-00-6

Reaktionsmasse aus 4,4’-[2,2,2- Trifluor-1-(trifluormethyl)ethyliden]diphenol und Benzyltriphenylphosphonium, Salz mit 4‚4’- [2,2,2-Trifluor-1-(trifluormethyl) ethyliden]diphenol (1:1)

-

-

015-207-00-1

4,4'-[2,2,2-trifluor-1-(trifluormethyl)ethyliden]diphenol (Bisphenol AF)

1478-61-1

216-036-7

604-099-00-7

Benzyl(diethylamino)diphenylphosphonium 4-[1,1,1,3,3,3-hexafluor-2-(4-hydroxyphenyl)propan-2-yl]phenolat

577705-90-9

479-100-5

015-204-00-5

 

4.2 Selbsteinstufungen von Bisphenol AF und einigen seiner Salze im C&L-Verzeichnis (*3)

4.2a: Selbsteinstufungen von Benzyltriphenylphosphonium, Salz mit 4,4’-[2,2,2-Trifluor-1- (trifluormethyl)ethyliden]bis[phenol] (1:1)

Informationen zur Gefährlichkeit

Gefahrenklassen und -kategorien

Gefahrenhinweise

Gesundheitsgefahren

Repr. 1B

H360F: Kann die Fruchtbarkeit beeinträchtigen.

STOT RE 2

H373: Kann die Organe schädigen <männliche Fortpflanzungsorgane, Samenblase, Prostata> bei
längerer oder wiederholter Exposition <oral>.

ED HH 1

EUH380: Kann beim Menschen endokrine Störungen verursachen.

Umweltgefahren

Aquatic Acute 1

H400: Sehr giftig für Wasserorganismen.

Aquatic Chronic 1

H410: Sehr giftig für Wasserorganismen, mit langfristiger Wirkung.

ED ENV 1

EUH430: Kann endokrine Störungen in der Umwelt verursachen.

 

4.2b: Selbsteinstufungen der Reaktionsmasse aus 4,4’-[2,2,2- Trifluor-1-(trifluormethyl)ethyliden]diphenol und Benzyl(diethylamino)diphenylphosphonium 4-[1,1,1,3,3,3-hexafluor-2-(4-hydroxyphenyl)propan-2-yl]phenolat (1:1)

Informationen zur Gefährlichkeit

Gefahrenklassen und -kategorien

Gefahrenhinweise

Gesundheitsgefahren

Eye Irrit. 2

H319: Verursacht schwere Augenreizung.

STOT SE 3

H335: Kann die Atemwege reizen.

Repr. 1B

H360: Kann die Fruchtbarkeit beeinträchtigen oder das Kind im Mutterleib schädigen <oral>.

STOT RE 2

H373: Kann die Organe schädigen <Prostata, Samenblase> bei längerer oder wiederholter Exposition <oral>.

Umweltgefahren

Aquatic Chronic 1

H410: Sehr giftig für Wasserorganismen, mit langfristiger Wirkung.

 

4.2c: Selbsteinstufungen der Reaktionsmasse aus 4,4’-[2,2,2- Trifluor-1-(trifluormethyl)ethyliden]diphenol und Benzyltriphenylphosphonium, Salz mit 4‚4’-[2,2,2-Trifluor-1-(trifluormethyl)ethyliden]diphenol (1:1)

Informationen zur Gefährlichkeit

Gefahrenklassen und -kategorien

Gefahrenhinweise

Gesundheitsgefahren

Eye Dam. 1

H318: Verursacht schwere Augenschäden.

Repr. 1B

H360: Kann die Fruchtbarkeit beeinträchtigen oder das Kind im Mutterleib schädigen <oral>.

STOT RE 2

H373: Kann die Organe schädigen <Samenblase, Prostata> bei längerer oder wiederholter Exposition <oral>.

ED HH 1

EUH380: Kann beim Menschen endokrine Störungen verursachen.

Umweltgefahren

Aquatic Acute 1

H400: Sehr giftig für Wasserorganismen.

Aquatic Chronic 1

H410: Sehr giftig für Wasserorganismen, mit langfristiger Wirkung.

ED ENV 1

EUH430: Kann endokrine Störungen in der Umwelt verursachen.

 

4.2d: Selbsteinstufungen von 4,4'-[2,2,2-trifluor-1-(trifluormethyl)ethyliden]diphenol (Bisphenol AF)

Informationen zur Gefährlichkeit

Gefahrenklassen und -kategorien

Gefahrenhinweise

Gesundheitsgefahren

Eye Dam. 1

H318: Verursacht schwere Augenschäden.

Repr. 1B

H360: Kann die Fruchtbarkeit beeinträchtigen oder das Kind im Mutterleib schädigen <oral>.

STOT RE 2

H373: Kann die Organe schädigen <Prostata, Hoden> bei längerer oder wiederholter Exposition <oral>.

Umweltgefahren

Aquatic Chronic 1

H410: Sehr giftig für Wasserorganismen, mit langfristiger Wirkung.

 

4.2e: Selbsteinstufungen von Tributyl(2-methoxypropyl)-Phosphoniumsalz mit 4,4'-[2,2,2-trifluor-1-(trifluormethyl)ethyliden]bis[phenol] (1:1)

Informationen zur Gefährlichkeit

Gefahrenklassen und -kategorien

Gefahrenhinweise

Gesundheitsgefahren

Skin Sens. 1B

H317: Kann allergische Hautreaktionen verursachen.

Umweltgefahren

Aquatic Chronic 2

H411: Giftig für Wasserorganismen, mit langfristiger Wirkung.

 

4.2f: Selbsteinstufungen der Reaktionsprodukte von Benzol, Chlor und Dischwefelchlorid (S2Cl2) mit 4,4'-[2,2,2-trifluor-1-(trifluormethyl)ethyliden]diphenol

Informationen zur Gefährlichkeit

Gefahrenklassen und -kategorien

Gefahrenhinweise

Gesundheitsgefahren

Skin Sens. 1B

H317: Kann allergische Hautreaktionen verursachen.

Umweltgefahren

Aquatic Chronic 1

H410: Sehr giftig für Wasserorganismen, mit langfristiger Wirkung.

 

4.2g: Selbsteinstufungen von Benzyl(diethylamino)diphenylphosphonium 4-[1,1,1,3,3,3-hexafluor-2-(4-hydroxyphenyl)propan-2-yl]phenolat

Informationen zur Gefährlichkeit

Gefahrenklassen und -kategorien

Gefahrenhinweise

Gesundheitsgefahren

Acute Tox. 4

H302: Gesundheitsschädlich bei Verschlucken.

Umweltgefahren

Aquatic Chronic 2

H411: Giftig für Wasserorganismen, mit langfristiger Wirkung.

 

4.2h: Selbsteinstufungen von N,N-dibutyl-N-methylbutan-1-aminium 4-[1,1,1,3,3,3-hexafluor-2-(4-hydroxyphenyl)propan-2-yl]phenolate

Informationen zur Gefährlichkeit

Gefahrenklassen und -kategorien

Gefahrenhinweise

Gesundheitsgefahren

Eye Irrit. 2

H319: Verursacht schwere Augenreizung.

STOT RE 1

H372: Schädigt die Organe <Blut> bei längerer oder wiederholter Exposition.

Umweltgefahren

Aquatic Acute 1

H400: Sehr giftig für Wasserorganismen.

Aquatic Chronic 1

H410: Sehr giftig für Wasserorganismen, mit langfristiger Wirkung.

4.3 Strukturformeln (*4)

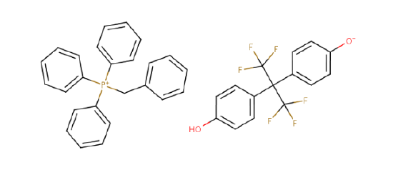
Strukturformel von Benzyltriphenylphosphonium, Salz mit 4,4’-[2,2,2-Trifluor-1-(trifluormethyl)ethyliden]bis[phenol] (1:1)
Strukturformel von Benzyltriphenylphosphonium, Salz mit 4,4’-[2,2,2-Trifluor-1-(trifluormethyl)ethyliden]bis[phenol] (1:1)
Strukturformel der Reaktionsmasse aus 4,4’-[2,2,2-Trifluor-1-(trifluormethyl)ethyliden]diphenol und Benzyl(diethylamino)diphenylphosphonium 4-[1,1,1,3,3,3-hexafluor-2-(4-hydroxyphenyl)propan-2-yl]phenolat (1:1)
Strukturformel der Reaktionsmasse aus 4,4’-[2,2,2-Trifluor-1-(trifluormethyl)ethyliden]diphenol und Benzyl(diethylamino)diphenylphosphonium 4-[1,1,1,3,3,3-hexafluor-2-(4-hydroxyphenyl)propan-2-yl]phenolat (1:1)
Strukturformel der Reaktionsmasse aus 4,4’-[2,2,2- Trifluor-1-(trifluormethyl)ethyliden]diphenol und Benzyltriphenylphosphonium, Salz mit 4‚4’- [2,2,2-Trifluor-1-(trifluormethyl) ethyliden]diphenol (1:1)
Strukturformel der Reaktionsmasse aus 4,4’-[2,2,2- Trifluor-1-(trifluormethyl)ethyliden]diphenol und Benzyltriphenylphosphonium, Salz mit 4‚4’- [2,2,2-Trifluor-1-(trifluormethyl) ethyliden]diphenol (1:1)
Strukturformel von Dinatrium-4,4'-[2,2,2-trifluor-1-(trifluormethyl)ethyliden]diphenolat
Strukturformel von Dinatrium-4,4'-[2,2,2-trifluor-1-(trifluormethyl)ethyliden]diphenolat
Strukturformel von 4,4'-[2,2,2-trifluor-1-(trifluormethyl)ethyliden]diphenol (Bisphenol AF)
Strukturformel von 4,4'-[2,2,2-trifluor-1-(trifluormethyl)ethyliden]diphenol (Bisphenol AF)
Strukturformel von Tributyl(2-methoxypropyl)-Phosphoniumsalz mit 4,4'-[2,2,2-trifluor-1-(trifluormethyl)ethyliden]bis[phenol] (1:1)
Strukturformel von Tributyl(2-methoxypropyl)-Phosphoniumsalz mit 4,4'-[2,2,2-trifluor-1-(trifluormethyl)ethyliden]bis[phenol] (1:1)
Strukturformel von Benzyl(diethylamino)diphenylphosphonium 4-[1,1,1,3,3,3-hexafluor-2-(4-hydroxyphenyl)propan-2-yl]phenolat
Strukturformel von Benzyl(diethylamino)diphenylphosphonium 4-[1,1,1,3,3,3-hexafluor-2-(4-hydroxyphenyl)propan-2-yl]phenolat
Strukturformel von N,N-dibutyl-N-methylbutan-1-aminium 4-[1,1,1,3,3,3-hexafluor-2-(4-hydroxyphenyl)propan-2-yl]phenolate
Strukturformel von N,N-dibutyl-N-methylbutan-1-aminium 4-[1,1,1,3,3,3-hexafluor-2-(4-hydroxyphenyl)propan-2-yl]phenolate

--------------------------

(*3) Quelle: Einstufungs- und Kennzeichnungsverzeichnis (C&L-Verzeichnis). Das Einstufungs- und Kennzeichnungsverzeichnis der ECHA enthält alle Einstufungen für Stoffe auf dem europäischen Markt. Da alle Hersteller und Importeure eines Stoffes die Einstufung und Kennzeichnung an die ECHA melden und diese Informationen weder überprüft, noch automatisch harmonisiert werden (können), unterscheiden sich die Selbsteinstufungen für einen Stoff in den unterschiedlichen Einträgen. Bei den hier aufgelisteten Einträgen handelt es sich um eine Zusammenstellung der am häufigsten vorgenommenen Selbsteinstufungen. Selbsteinstufungen, die die rechtsverbindliche harmonisierte Einstufung unterschreiten, werden nicht berücksichtigt.

(*4) Quelle: Strukturformeln aus den Anhang XV Dossiers der ECHA.

Im Folgenden sind nur Quellen zu Informationen angegeben, die nicht auf der Internetseite der ECHA verfügbar sind.

 

Stand der Bearbeitung: 11. Feb. 2026